Saudi Arabia Flag
Official government website of the Government of the Kingdom of Saudi Arabia
Live Stream LinkLive Stream
Link Icon
Links to official Saudi websites end withgov.sa

All links to official websites of government agencies in the Kingdom ofSaudi Arabia end with .gov.sa

Password Icon
Government websites use theHTTPSprotocol for encryption and security.

Secure websites in the Kingdom of Saudi Arabia use the HTTPS protocolfor encryption.

Dga Logo

Registered with the Digital Government Authority under number :

20250724844

Methodology and Quality Report of Real Estate Price Index Statistics

Methodology and Quality Update

Methodology and Quality last update

14/04/2025

 

Statistical Presentation

Data description 

 The real estate price index is an economic indicator that measures changes in the prices of residential, commercial, and agricultural properties over time. The index is used as a tool to monitor price movements in the real estate market and reflects the relative changes in prices of various types of properties compared to a base period. It serves as a key tool for decision-makers in financial and monetary policies.
The real estate price index is a product designed to collect data on key characteristics as follows:
•    The overall real estate price index.
•    Time Series of index numbers, annual, and quarterly changes by sector and type of property.
•    Time Series of index numbers, annual, and quarterly changes by administrative region.

 

Classification system

Apply the following classifications in the Real Estate Price Index.
Classification of real estate:
Three sectors and eight types of real estate are:
•    Residential sector: Residential land plot, villa, apartment, floor.
•    Commercial sector: Commercial land plot, building, gallery/shop.
•    Agricultural sector: Agricultural land.
Classification of administrative regions:
13 administrative regions in the Kingdom of Saudi Arabia.
The classifications are available on the GASTAT’s website:  www.stats.gov.sa

 

Sector coverage

The Real Estate Price Index covers the following major economic sectors:
•    Residential.
•    Commercial.
•    Agricultural.

 

Statistical concepts and definitions

Terminologies and concepts of the Real Estate Price Index:
•    Index number:
A relative number that measures the change in one or more phenomena. It is obtained by comparing the value of the phenomenon in the comparison period to its value in the base period.
•    Real Estate Price Index:
It is a statistical tool to measure the relative change in real estate prices between two time periods.
•    Real state:
Fixed assets represented by lands and buildings.
•    Relative importance of a real estate type:
It is the ratio of the total value of transactions for one real estate type to the total value of transactions for all real estate types in the base year.
•    Base year:
It is the year or a period which the prices of the comparison year or comparison period are attributed to. When the base year is chosen, it should be a normal period characterized by stability and being free from sudden and serious conditions, such as: economic crises and wars. It must also be relatively close to the comparison period.

 

Statistical unit

The statistical unit in the real estate price index is the registered real estate transaction.

 

Statistical population

The statistical population for the real estate price index consists of real estate transactions recorded in the Kingdom of Saudi Arabia.

 

Reference area

The real estate price index covers real estate transactions recorded in all 13 administrative regions of the Kingdom of Saudi Arabia.

 

Time coverage

The product data covers real estate transactions from 2014 to the current quarter of 2025.

 

Base period

The base period used to calculate the real estate price index is 2023.

 

Unit of measure

Indices are calculated as quarterly and yearly changes such as the index increased by %4.0 on a quarterly basis.

 

Reference period

•    Quarterly indicator data is based on the previous quarter compared to the base year.
•    Annual indicators data are based on the previous year's data compared to the base year.

 

Confidentiality 

Confidentiality - policy

According to the Royal Decree No. 23 dated 07-12-1397, data must always be kept confidential, and must be used by GASTAT only for statistical purposes.
Therefore, the data are protected in the data servers of the Authority.

 

Confidentiality - data treatment

Data are displayed in appropriate tables to facilitate its summarization, comprehension, results extraction. comparison with other data and coming up with statistical connotations for the study community. It is also easier to check tables without the need to see any sensitive or confidential data, which violates the confidentiality of statistical data.

 

Release policy

Release calendar

The real estate price index is included in the statistical calendar.

 

Release calendar access

The release calendar is available at: https://www.stats.gov.sa/statistical-calendar-releases

 

User access

One of GASTAT’s objectives is to better meet its clients' needs, so it immediately provides them with the publication's results once the real estate price index publication is published.
It also receives questions and inquiries from the clients about the Publication and its results through various communication channels, such as:
•    GASTAT’s official website: www.stats.gov.sa 
•    GASTAT’s official e-mail address: info@stats.gov.sa
•    Client Support’s e-mail address: info@stats.gov.sa 
•    Official visits to GASTAT’s official head office in Riyadh or one of its branches in Saudi Arabia.
•    Official letters.
•    Statistical telephone (199009).

 

Frequency of dissemination

Quarterly.

 

Accessibility and clarity

News release

The announcements of each publication are available on release calendar as mentioned in 7.2. Release calendar access. The news release can be viewed on the website of GASTAT through the following link:
https://www.stats.gov.sa/en/news

 

Publications

GASTAT issues publications and reports on the real estate price index on a regular basis within a pre-prepared dissemination plan and are published on GASTAT’s website. GASTAT is keen to publish its publications in a way that serves all users of different types, including publications in different formats that contain (publication tables, data graphs, indicators, methodology and quality Report, and questionnaires) in both English and Arabic.
The results of the real estate price index are available at: https://www.stats.gov.sa/en/statistics

 

On-line database

The data is published on the statistical database
GASTAT (stats.gov.sa)

 

Micro-data access 

Not available.

 

Other

Not available.

 

Documentation on methodology

The concepts, definitions, issues, and classifications of the real estate price index are based on international standards.
And alignment is made with:
•    International Handbook on Residential Property Price Indices 2013, by EUROSTAT.
•    International practical Guide to the residential Property Price Index 2020, by the International Monetary Fund.
•    Technical guide issued by the General Real Estate Authority.
•    International best practices in this area.

 

Quality documentation

Quality documentation covers documentation on methods and standards for assessing, measuring, and monitoring the quality of statistical process and output. It is based on standard quality criteria such as relevance, accuracy and reliability, timeliness and punctuality, accessibility and clarity, comparability, and coherence.

 

Quality management

Quality assurance

GASTAT declares that it considers the following principles: impartiality, user orientated, quality of processes and output, effectiveness of statistical processes, reducing the workload for respondents. 
Quality controls and validation of data are actions carried out throughout the process in different stages such as the data input and data collection and other final controls.

 

Quality assessment

GASTAT performs all statistical activities according to a national model (Generic Statistical Business Process Model – GSBPM). According to the GSBPM, the final phase of statistical activities is overall evaluation using information gathered in each phase or sub-process. This information is used to prepare the evaluation report which outlines all the quality issues related to the specific statistical activity and serves as input for improvement actions.

 

Relevance 

User needs

 External users and major beneficiaries for the real estate price index data, include:
•    Government entities.
•    Regional and international organizations.
•    Research institutions.
•    Media.
•    Individuals.
The most prominent government entities that benefit from the index:

Saudi Central Bank. Real Estate Price Index.
General Real Estate Authority.
Ministry of Economy and Planning.
Ministry of Finance.

 

User satisfaction

Beneficiary satisfaction is measured through official social media platforms, where the results are published.

 

Completeness 

The real estate price index data is based on a key source for providing comprehensive information on real estate transactions, namely the Real Estate General Authority, Ministry of Justice, and all procedures have been implemented to ensure the completeness of the data to provide the required statistics. 

 

Accuracy and reliability 

Overall accuracy

The data is reviewed and matched to ensure its validity and accuracy in a manner that is appropriate to the nature of that data, with the aim of imparting quality and accuracy to the publication statistics. 
It includes the application of the rules of alert, prevention and correction after the process of data collection, and the comparison of data for the current cycle of the bulletin with the data of the previous cycle; in order to verify the integrity and consistency of the data in preparation for the processing process, and the extraction and review of the results are examined data with previous years to determine any significant changes in the data.

 

Timeliness and punctuality 

Timeliness 

The General Authority for Statistics is committed to applying internationally recognized standards regarding the announcement, clarification of the time of publishing statistics on its official website, as outlined in the statistical calendar, as well as adhering to the announced time of publication. In the event of any delay, updates will be provided accordingly.

 

Punctuality

Publication takes place in accordance with published release dates for the real estate price index in GASTAT webpage.
The data are available at the expected time, as scheduled in the statistical release calendar, If the publication is delayed, reasons shall be provided.

 

Coherence and comparability

Comparability - geographical

The data are fully comparable geographically as the data used cover all regions of Saudi Arabia.

 

Comparability - over time 

The product started publishing results from 2014 and the base year was updated to 2023 to achieve greater representation of the real estate market. 

 

Coherence- cross domain 

Not applicable. 

 

Coherence - sub annual and annual statistics 

Consistent

Coherence- National Accounts 

Data are consistent with national accounts.

 

Coherence - internal 

The real estate price index estimates for the reference period have full internal coherence, as they are all based on the same corpus of microdata, and they are calculated using the same estimation methods.

 

Data revision

Data revision - policy

The data will be reviewed by the competent team and referred to the source in case of any inquiry.

 

Data revision - practice

The data will be reviewed by the competent team and referred to the source in case of any inquiry.

 

Statistical processing

Source data

Real estate price index data are based on:
•    Real estate transactions from the Real Estate General Authority.
•    Supplementary data for addressing real estate classification in the data, which includes:
-   Internal source: Census data and residential communities.
-    External source: Land-cutting data and satellite imagery.

 

Frequency of data collection 

Data on real estate transactions are obtained from its sources on a weekly basis.

 

Data collection

Data is collected in coordination with the relevant departments of the Authority to obtain recorded data on real estate transactions from the Real Estate General Authority and Ministry of Justice.
They are stored in the authority's databases after auditing and reviewing according to approved statistical methods and recognized quality standards and referring back to the data source in case errors are discovered or there are comments on the data.

 

Data validation

The data is reviewed, reconciled, tabulated, and pre-processed to ensure its accuracy and increase the quality of the statistics provided by applying the following processes: 
•    Application of Business rules.
•    Processing of the real estate sector through street-width information.
•    Property types are processed by linking transaction data with supplementary data, applying a geo-artificial intelligence model, and incorporating census data.
The data of the current year publication are compared with the data of the previous year to ensure their integrity and consistency in preparation for processing data and extracting and reviewing results. In addition to the data processing and tabulation to check their accuracy, all the outputs are stored and uploaded to the database after being calculated by GASTAT to be reviewed and processed by specialists through modern technologies and software designed for this purpose.

 

Data compilation

After data validation and processing are applied. The data is collected through statistical analysis techniques such as R program, and the following procedures will be applied:
Data Coding:
In the real estate price index, information is encoded internally through an automated process, which is reviewed by a dedicated team.
Data editing:
Specialists of General Authority for Statistics have processed and analyzed data in this stage, and this step was based on the following measures:
•    Sorting and arranging data in groups or different categories in a serial order.
•    Summarizing detailed data into key points or data.
•    Combining many data segments and ensuring their interconnection.
•    Processing incomplete or missing data.
•    Processing illogical data.
•    Converting data into statistically significant data.
•    Arranging, presenting and interpreting data.
Methods for calculating statistical indicators:
The General Authority for Statistics has adopted the class methodology in controlling the price homogeneity of the property and adopted the equation of the company of the company in the installation and calculation of the real estate price index according to international standards in the calculation of the main indicators of the (real estate price index) as follows:
•    Base year: It is 2023 and is updated periodically. At this stage, the weight significance is updated according to the average price per square meter per item, including the location and type of property
•    Stratified methodology: Strata are constructed from the lowest to the highest, considering: 
-    First, define the location as: A region, city, neighborhood, or even without neighborhood (or a combination of neighborhoods if necessary).
-    Second, considering the classification of the property into one of the type included in the real estate price index, such as land plot, villa, apartment, etc.
-    Finally, a stratum is defined as the type of property at the specified location. To manage the balance between homogeneity and sample size in a stratum, we set a minimum number of transactions within each stratum. This ensures that each stratum contains a sufficient number of trades to be statistically significant, while maintaining sufficient uniformity to accurately reflect market pricing trends for similar properties.
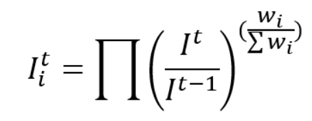
•    Laspeyres equation 

Where the details of the equation are defined as follows:
 I: It is the indicator at each level of classification.
t : The period (quarter).
Exponent: Is the weight of the item/total weights for each level.
After that, the index is aggregated at detailed levels to calculate the indicators:
•    Composition of the Index by sector and type of property.
•    Index numbers and rates of change by sector and type of property for the quarter.
•    Time Series of the Index and Rate of Change by Sector and Type of Real Estate from 2021 (Quarterly – Annually.
•    Time Series of the Index and Rate of Change by Administrative Region from 2021 (Quarterly - Annually).

 

Adjustment

Not applicable.

 

Comment

Key Updates Implemented:
•    Update of data collection and processing methodology, incorporating complementary data and artificial intelligence models.
•    Rebase the base year to 2023 to ensure more accurate comparisons over time.
•    Expansion of geographic coverage to ensure better representation of administrative regions.
•    Review of real estate types within the real estate basket.
These updates have been applied to the data from the year 2021.